Đóng

Bạn giải được câu đố que diêm này trong 30 giây?

(VTC News) -

Đố bạn tìm lời giải cho bài toán sau trong thời gian 30 giây.

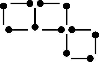
Trong hình là 11 que diêm xếp thành 3 hình vuông. Hãy thay đổi vị trí 3 que diêm để còn 2 hình vuông.

Câu đố được giới thiệu tại Math is fun. Bạn mất bao lâu để tìm ra lời giải?

Phương Anh (Nguồn: Math is fun)

Tin mới